Получихте нова обява по филтър
Без снимка





Промяна на цена на наблюдавана обява
Без снимка промяна в цена


стара цена
нова цена
Вход | Нова Регистрация
Начало Публикуване Търсене Новини Rent-a-car Дилъри + Още... Моите обяви
Редактирана в 18:13 часа на 13.12.2025 год.
Обявата е видяна 228 пъти.

Технически данни


Дата на производство
януари 2023
Двигател
Бензинов
Мощност
95 к.с.
Кубатура [куб.см]
850 см3
Вид двигател
4 тактов
Вид охлаждане
Водно
Скоростна кутия
Полуавтоматична
Категория
Ендуро
Пробег [км]
4620 км
Цвят
Бял
VIN номер
WB10B0907P6G84002

Допълнителна информация


Ролбар горен+долен.
Гард ДВГ.
Гард Фар.
3. бр куфари+сваляем заден 40. л
Опционалното електронно окачване Dynamic ESA.
Протектор дисплей челен и горен.
Протектор фар.
Халогени 4. бр с 3 позиций.
Регулируема слюда.
Гардове на ръцете.
Спортна седалка.
Kales-Start stop sistem.
Отопляеми ръкохватки.
Странична+ долна голяма степенка.
Автопилот отключен.
5. отключени режима на каране.
Регулируеми окачване.
quickshifter стойка за тел. и мн д-р.
BMW F 850 GS извлечение от AIR
VIN: WB10B0907P6G84002 (последни 7: 6G84002) (! )
Модел/код: F 850 GS / K81, модел код 0B09; национална версия: EUR (DE) (! )
Произведен: 22 ноември 2022 г. ; доставка: 13 януари 2023 г. (Fuhrpark, Mü nchen, DE) (! )
Цвят / боя: Gravity-blue metallic, paint code N3N (! )
Двигател/скор. : A24A08 / механична трансмисия; двигател 3722141L (! )
Гуми: опция Off-road tyres (0633) (! )
Гаранция и кампании
Заводска гаранция BMW Motorrad 3 Year Warranty AG: 3 дек 2024 2 дек 2025, до 499 999 км. Има ограничения на гаранцията; Valid service contracts are available. Няма активни технически кампании/разширения. (! )
Опции (фабрични / ретрофит)
Основни: Dynamic ESA (0191), LED фар (0192), Keyless Ride (0193), DRL (0202), Gearshift Assistant Pro (0222), Riding Modes Pro (0224), Comfort (0230) / Dynamic (0235) / Active (0236) пакети, Cruise control (0538), Heated grips (0519), ABS Pro (05AC), Style GS Trophy (0457), висока визьор (0553), ръкохватки (0589), RDC (0530), степенка (0636), багажни стойки (0661), Connectivity (06AB), подготовка за навигация (0272) и др. Ретр. кодове 0182/018A/018B са отбелязани. (! )
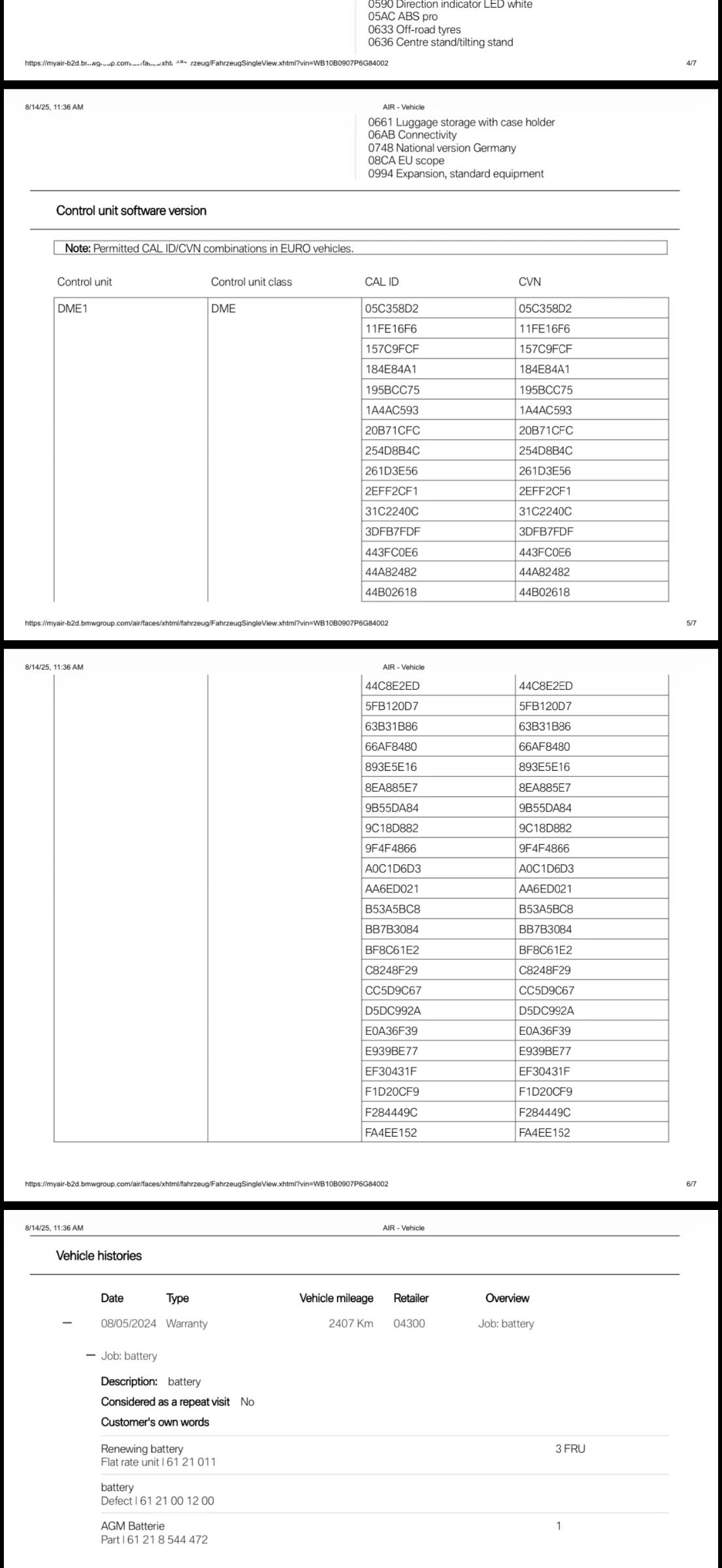
Софтуер/кал. идентификатори
Списък с допустимите CAL ID/CVN комбинации за DME е наличен (множество стойности, напр. 05C358D2, 11FE16F6 FA4EE152). (! )
История на обслужване
05 авг 2024: работа по батерия (AGM 61 21 8 544 472), 3 FRU, по гаранция, километри 2407 km. Описанието от клиента: Renewing battery . Не е отбелязано като повторно посещение. (! )

Какво означава това (накратко)
Мотоциклетът е късно 2022 производство, доставен началото на 2023 г. и към 05. 08. 2024 е имал едва ~2407 км нисък пробег. (! )
Гаранцията важи до 2 дек 2025, но са посочени ограничения при покупка/сервиз бих проверил конкретиката в дилърска система. (! )
Няма технически кампании към датата на отчета. (! )
Богата фабрична конфигурация (ESA, Pro режими, Cruise, Heated grips, ABS Pro, Connectivity и др. ) това е по- пълна спецификация.
Бартер за 1250 или 1300. GS-ADVENTURE
Автокъща Кентавър
Безопасност
GPS система за проследяване
Автоматичен контрол на стабилността
Антиблокираща система
Катализатор
Система за контрол на сцеплението
Други
Buy back
Бартер
Инжекционна горивна система
Напълно обслужен
С регистрация
Сервизна книжка
Тунинг
Екстериор
LED фарове
Ксенонови фарове
Металик
Предно стъкло
Ролбари
Комфорт
Багажен куфар
Бордкомпютър
Електрически стартер
Контакти с продавача /Частно лице/
0888699454
ИЗПРАТИ ЗАПИТВАНЕ КЪМ ПРОДАВАЧА
captcha
ИЗПРАТИ ЗАПИТВАНЕТО

BMW G GS-850 F ADVENTURE-Enduro 95.ps
Обява: 51758014866634088

Намира се в гр. София
14 826.95 €
28 999 лв.
История на цената

Не се начислява ДДС
0888699454
/Частно лице/ Изпрати E-mail до продавача
ЗАПАЗИ ОБЯВАТА
Още обяви в mobile.bg
oбяви за коли Мотоциклети BMW GBMW G GS-850 F ADVENTURE-Enduro 95.ps
© mobile.bg ползва и препоръчва хостинг услугите на Bulinfo.net
Следвайте ни в: